经济发展“稳中求进”的先决条件和着力点
作者:陈勇勤(中国人民大学经济学院教授)
以习近平同志为核心的党中央把坚持稳中求进工作总基调作为做好经济工作的方法论。党的十九大报告指出:我们坚持稳中求进工作总基调,迎难而上,开拓进取,取得了改革开放和社会主义现代化建设的历史性成就;坚定不移贯彻新发展理念,坚决端正发展观念、转变发展方式,发展质量和效益不断提升;社会大局保持稳定;国内生产总值从五十四万亿元增长到八十万亿元,稳居世界第二;蹄疾步稳推进全面深化改革。2021年12月中央经济工作会议指出,“着力稳定宏观经济大盘,保持经济运行在合理区间,保持社会大局稳定”,为此“各方面要积极推出有利于经济稳定的政策”,并且“政策发力适当靠前”。
“稳中求进”的先决条件
党的领导和政策指导。十九大报告强调“加强党的集中统一领导”,“加强党的全面领导”。要提高党“定政策”的“能力和定力”;在资源配置中,与市场“起决定性作用”相关联,“更好发挥政府作用”;政府职能把“科学合理的管理体制”和“宏观调控有度的经济体制”完美地结合,彰显“政府公信力和执行力”。
“人民满意的服务型政府”的政策指导主要体现在,“创新和完善宏观调控,发挥国家发展规划的战略导向作用,健全财政、货币、产业、区域等经济政策协调机制”。政策和协调的组合运用,正是在党“总揽全局”下,党“定政策”和党“协调各方”的具体实践。
辩证的全局观。其主导因素是习近平总书记对我们党提出的“全面增强执政本领”应坚持的“五个思维”中的“辩证思维”。十九大报告指出,必须增强大局意识,“党把方向、谋大局”,统筹推进“五位一体”总体布局,统筹国内国际两个大局。
概括讲,“稳中求进”的先决条件是:党始终总揽全局=辩证的全局观=辩证思维+大局意识;宏观调控=政策+协调=系统观念+统筹协调;全国统筹=顶层设计+整体谋划。
“稳中求进”的着力点
“不断提高人民生活水平”的前提是“经济持续健康发展”,由此,要“把发展作为党执政兴国的第一要务”。贯彻新发展理念,“不断开创发展新局面”的“实践创新”中,经济发展的宏观表象,质的尺度是高质量,量的尺度是GDP增长。这也体现在2021年12月中央经济工作会议提出的“经济实现质的稳步提升和量的合理增长”。
GDP增长的主动力是生产和消费。第一,生产的关键在“深化供给侧结构性改革”。把提高供给体系质量作为主攻方向,显著增强我国经济质量优势;坚持质量第一、效益优先,以供给侧结构性改革为主线,推动经济发展质量变革、效率变革、动力变革。第二,“稳”,要求在“优化存量资源配置,扩大优质增量供给”基础上,“实现供需动态平衡”。第三,“补短板”关键在创新,“创新是引领发展的第一动力”。有经济创新力,才有经济竞争力。人才强国是创新型国家的基石。有人才强国,才有科技强国、质量强国、制造强国、网络强国、交通强国、航天强国、海洋强国,才能实现“强军梦”。第四,“去库存”关键在增销量,这一方面让“消费对经济发展的基础作用”发挥出来,另一方面,既需要政府“完善促进消费的体制机制”,也需要产销者具备职业道德,消费者具有与国家“扩大内需战略”相适应的新时代消费观。
价格和利润作为助力或阻力的正反作用。第一,商品价格和消费支出成正比。“扩大内需”较理想的供求关系是,一定的消费支出购买尽可能多的产品。这属于国民收入与商品销量的关系。第二,商品价格和销售利润成正比。降价可使不变的国民收入换来相对多的商品销量。从诚信的角度说,即便利润减少,或者以一般利润出现,也应该用正常方式获得利润。从经济变量之间关系的角度说,为增加利润使价格上涨,对经济的负面影响较大。第三,“降成本”,要么是供求使中间产品价格下降,要么是节约使中间产品耗量减少。降价格导致利润减少,减利润又要考虑减税。从中也可以间接地理解“保供稳价”和“减税降费”这两个经济举措之间的互动关系。第四,利润要么投资,要么消费。不过利润消费只能抵消基本价的增加量,让上涨价格回归基本价。第五,利润唯一与资本相伴,利润的正反作用使得资本必有正反作用。
利润投资与就业。第一,投资可以影响供给结构,因而要“发挥投资对优化供给结构的关键性作用”。第二,利润投资是经济社会中正常投资的内容之一,只不过属于自有资本范畴。第三,投资的同时也提供了就业岗位。这是投资的积极作用,是投资对社会做出贡献的一面。第四,就业是最大的民生,而且按劳分配原则本身已将就业与群众基本生活、人民收入水平的关联度清清楚楚显示出来。实现就业,才有“人人都有通过辛勤劳动实现自身发展的机会”。“抓好重点群体就业,落实落细稳就业举措”。保就业,保工资,就是保基本民生。第五,新时代的就业,在“创新是引领发展的第一动力”大环境下的就业,更需要“大规模开展职业技能培训”,“积极发展职业教育”。这是对劳动者素质跟上经济发展的时代步伐的客观要求。
税收与收入。第一,国民收入,这里主要看居民收入和企业收入,并且主体是劳动者的工资等劳动报酬和企业的利润。第二,对于就业中劳动者工资的增长,十九大报告中明确提出:“在经济增长的同时实现居民收入同步增长、在劳动生产率提高的同时实现劳动报酬同步提高。”第三,在收入中,工资和利润成反比。这是早在19世纪马克思已经指出的。据此推论,利润下降相当于工资上升。可见,利润减少从而价格下降,其积极作用就在于,“保护广大劳动者和消费者权益”。第四,税收是利润的减数,税收和利润成反比。包括可让“降成本”实现的降价格,很重要一个因素来自降利税。这是税收政策能够解决的一个问题。第五,工资与利润,税收与利润,是两个反比关系。而两个反比关系之间也有必然联系,这更需要我们进行深入细致的研究。工资增减与利润减增,税收增减与利润减增,以及同时存在的工资增减与税收增减,找到其中改变量或改变率的适合度,显然是可以解决的问题。
发挥分配的功能与作用。“稳中求进”,改善民生水平,收入分配是其中重要的影响因素。对应于“缩小收入分配差距”,“促进收入分配更合理、更有序”,可以这样说,当下突出的问题在于“调节过高收入”。理论和现实均已证明,一定时段内的国民收入必为有限(这从收入恒等式可以看出),并非无限。正因为如此,“两极分化”当中过高收入群体的决定作用总要大于低收入群体。而且政府再分配调节职能有相当一部分就是针对过高收入群体。当然,如果可以出台有效的限制过高收入政策,或许要比调节过高收入能赢得更强烈的社会共鸣。总体上来看,“体现效率、促进公平的收入分配体系”既涉及“中华民族富起来=全体人民共同富裕”这个“人民的幸福线”,又涉及“不断促进社会公平正义”。
社会文明水平的提高。在十九大报告中,习近平总书记指出“必须着力加以解决”的问题之一是“社会文明水平尚需提高”。可以说,“稳中求进”一方面需要“全面依法治国”;另一方面,既需要“全民守法”,又需要“提高全社会文明程度”,譬如职业道德、奉献意识等,包括大力提高国民素质,倡导创新文化,弘扬劳模精神和工匠精神,营造劳动光荣的社会风尚和精益求精的敬业风气,以及激发企业家精神和构建亲清政商关系,从而达到“人民有信仰,国家有力量,民族有希望”。
经济现象的逻辑关系
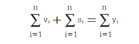
根据国民经济生产与分配的部门联系综合平衡表,或者说投入产出数学模型,我们可以从社会总产品等式导出国民收入等式,即

其中,等号左边表示国民收入,是工资总额和利润总额之和;等号右边表示GDP,是最终产品价格总额。借助这个等式,分析给出如下关系式:利润→价格→销量→总利润→总收入→总价格→……总价格→总工资。可以说,第一,这个关系式的重要性在于,“打通生产、分配、流通、消费各环节”,及至“畅通国内大循环”,都与这个关系式中的因果链有直接或间接的关系。第二,这个关系式的整体中存在着货币量、利率和汇率三个影响因素。十九大报告关注“深化利率和汇率市场化改革”,2021年12月中央经济工作会议强调“稳健的货币政策要灵活适度,保持流动性合理充裕”。第三,这个关系式相当于自然法则,前文所述与此相关还有一些需要讨论的问题。不过在这里,只能暂且撇开这些问题不谈。尽管如此,仍有两个问题需要有清晰的解答:
首先,面临的“三重压力”并不可怕,“我们既要正视困难,又要坚定信心”;“我国经济韧性强,长期向好的基本面不会改变”;从目前的形势来看,已经“实现了‘十四五’良好开局”。第一,关于需求收缩。在某些领域,以创新和提供“满足人民日益增长的美好生活需要”的产品来应对。在总体上,以国家“扩大内需战略”来应对;同时也需要领悟“扩大内需”与“节约优先”、在消费领域“增强全民节约意识”、在财政支出上“党政机关要坚持过紧日子”之间的辩证关系。第二,关于供给冲击。主要以“降成本”来应对。由此又可以带来均衡价格水平下降,均衡产出增加。第三,关于预期转弱。以“四个自信”,“自力更生,艰苦创业”精神,“坚定信心、奋发有为”气魄来应对。这方面,重点在“高度重视传播手段”即“新闻舆论传播力、引导力、影响力、公信力”,特别是“坚持正确舆论导向”,从而激励人们在“锐意进取,埋头苦干”中做“担当民族复兴大任的时代新人”。
其次,社会主义社会所包含的资本扩张,严格讲,是允许包容的资本扩张,并且首先是“与社会主义社会相适应”的“资本规范健康发展”,是与国家宏观经济政策相吻合的“资本规范健康发展”,它比笼统的所谓资本有序扩张,明显有确切的定义。离开了“与社会主义社会相适应”这一关键点,越过了“与国家宏观经济政策相吻合”这一警戒线,“资本无序扩张”甚至“资本野蛮生长”必定给我国经济运行造成负面影响。十九大报告强调“毫不动摇鼓励、支持、引导非公有制经济发展”,并且在“发挥投资对优化供给结构的关键性作用”的同时“深化投融资体制改革”;与此相对应,也配套有像“完善市场监管体制”,“健全金融监管体系,守住不发生系统性金融风险的底线”等相关的国家治理措施。也就是说,社会主义社会引入的这个资本扩张,必然涉及习近平总书记对我们党提出的,“全面增强执政本领”应坚持的“五个思维”中的两个即“底线思维”和“法治思维”。政府监管,是对引发系统性金融风险这个越过“底线”的资本行为的监管,是依法监管,是依法治国的必有内容。
综上,从重申的角度扼要地强调两点:第一,应对资本扩张问题,一方面是确认资本野蛮生长领域,另一方面是确认我国经济短板领域。前者要对野蛮生长的资本实施限制政策,后者要对规范健康发展的资本实施鼓励进入政策。进入短板领域的资本,不仅和“提高直接融资比重,促进多层次资本市场健康发展”有一定联系,而且作为一种生产要素,也在“保市场主体”覆盖面当中。第二,应对收入分配问题,有必要认定哪些领域应限制过高收入,哪些领域可允许适当高收入。前者对应于履行政府初次分配限制职能,后者对应于履行政府再分配调节职能。可以考虑,对那些必定要和再分配共同存在的过高收入,应进一步加大税收调节力度。


